This research report was funded by Cargill, NRCS and Walton Foundation.
In a Nutshell:
- Planting green is a practice where farmers plant soybeans into a green and growing rye cover crop to maximize growth and benefits of the cover crop. When farmers terminate the rye within a week or two after soybean planting, there tend to be no negative yield effects relative to terminating covers before planting, but delaying termination more than that can have negative yield effects.
- Alec Amundson, Landon Brown, Jeremy Gustafson, Ross McCaw, Scott Shriver and Tracy Skaar decided to test if planting later relative maturity soybeans can help avoid soybean yield decline when planting green and delaying rye termination by more than two weeks. They conducted a trial exploring the effect of soybean relative maturity (Early/Late RM) and cereal rye cover crop termination timing (Near-Plant/Delayed) on soybean yield when planting green.
Key Findings
- Cooperators waited an average of four days to terminate rye in their Near-Plant Termination treatment and an average of 21 days to terminate rye in their Delayed Termination treatment. They planted Early/Late RM soybeans that were an average of 0.8 relative maturity groups different from each other.
- At three out of six trial locations, Near-Plant Termination treatments consistently outyielded Delayed Termination treatments in both Early and Late RM soybeans.
- Across all trials considered together, Early RM soybean yield averaged 5 bu/ac lower under Delayed Termination compared to Near-Plant termination. Statistically, Late RM soybean yield was not significantly lower under Delayed Termination compared to Near-Plant Termination, but yield did trend lower.
- Cooperators concluded that later maturity soybeans did not offset yield decline when delaying cover crop termination to more than two weeks after planting soybeans.

Soybeans emerging in early rye termination treatment (left) and late rye termination treatment (right) in Scott Shriver’s trial. Shriver runs an organic operation and terminated rye cover by roller crimping. Photos taken June 7, 2023.
Background
Planting green is a practice where a cash crop is planted into a living cover crop and the cover crop is terminated days to weeks later using herbicide, roller-crimping or a combination of those methods. This management practice is growing in popularity when planting no-till soybeans into a cover cropped field. Planting green lets cover crops grow a bit longer in the spring, increasing cover crop biomass [1] and weed suppression [2], [3] while still giving the cash crop an earlier start. Planting soybeans green and terminating within one week of planting has generally been found to either not impact the yield of the soybeans or sometimes to slightly increase the yield [3]. The soybeans do face some light, nutrient, and water competition from the cover crop until it is terminated. Cover crop termination more than a week or so after soybean planting may ultimately negatively affect soybean yield, especially in a dry year, [2], [4], [5] but does not always result in reduced yields [1], [6].
Alec Amundson has been planting later-maturing soybeans when relay-cropping, a system where a farmer plants soybeans into standing rye and harvests both the rye for seed and soybeans in the same year. He has noticed improved soybean yields when planting later vs. earlier maturing soybeans in this system. Amundson and a group of five other cooperators decided to test if later maturing soybeans could offset some of the yield decline seen when planting green and delaying cover crop termination. They designed a trial exploring the effect of soybean relative maturity and cover crop termination timing on soybean yield. Amundson noted that “We want to continue to maximize yield and cover crop growth. This will be a great way to test our theories of how we can do both.” While the cooperators came to this trial with a variety of experiences with planting green into cereal rye cover crop, everyone was interested in fine-tuning their methods with soybean relative maturity and cereal rye termination timing. Echoing a common theme among participants, Ross McCaw commented that he hoped this trial would help him “show the community that these practices work.”
Methods
Design
Cooperators no-till drilled two varieties of soybeans, one early maturing variety (Early RM) and one later-maturing variety (Late RM), into standing cereal rye. Cooperators chose varieties for their trials based on their location and typical practices and planted both varieties on the same day (Table 1). They then subjected both maturities of soybean to the following rye termination treatments:
- Near-plant: Cover crop termination (via herbicide or roller-crimper) at soybean planting or within 1 week of planting.
- Delayed: Cover crop termination (via herbicide or roller-crimper) 2-4 weeks after soybean planting.
Thus, there were a total of four treatments: Early RM + Near-Plant Termination, Early RM + Delayed Termination, Late RM + Near-Plant Termination, and Late RM + Delayed Termination. Cooperators randomly assigned four replications of each treatment across their fields for a total of 16 strips. Field management for each cooperator’s trial is detailed in Table 1.

Alec Amundson explaining the height of rye cover crop at termination in his trial field. Photo taken July 10, 2023.
Measurements
Cooperators harvested soybeans from each strip and recorded yields and percent moisture. Yields were adjusted to 13% moisture. Some cooperators measured cover crop heights just prior to rye termination in both treatments. Some cooperators also used hand-held probes to document soil moisture (8 in. depth) and soil surface temperature (2 in. depth) in five locations in each strip several weeks after planting and throughout the summer.
Data analysis
We evaluated the effects of the soybean relative maturity and termination timing on soybean yield at the level of each individual cooperator’s trial as well as on data from all five of the trials combined (McCaw excluded due to lack of replication). We analyzed the data from the five remaining trials combined using an Analysis of Variance Test (ANOVA) with farm as a random factor, which allowed us to assess differences in treatments while also accounting for variance across farms. Because the ANOVA indicated that there were differences between treatments, we then calculated the Tukey’s Honest Significant Difference (HSD) at 90% confidence level to determine which pairs of treatments varied from each other. If the difference between the means of two treatments is greater than the HSD, the two means are considered statistically significantly different. 90% confidence means that we expect the same results to occur 90 times out of 100 if the trial were repeated under the same conditions. For each individual trial, we assessed differences in soybean yield and soil temperature and moisture among the four treatments using an ANOVA followed by a Tukey’s HSD. We could make these statistical calculations because the five cooperator’s experimental design included four replicates of each treatment assigned in a randomized design across the field.
Results and Discussion

Figure 1. Mean values of soybean maturity and termination timing treatments across five trials (Amundson, Brown, Gustafson, Shriver, Skaar). These mean values are estimated with a statistical method that considers differences between farms. * Indicates a treatment group that varied significantly from other groups. Near-Plant Termination = within one week of planting soybeans. Delayed Termination = ~21 days after planting soybeans. Click to enlarge.
Treatments
Cooperators waited an average of four days after soybean planting to apply their Near-Plant Termination treatment and 21 days after planting to apply their Delayed Termination treatment (Table 1). They planted Early/Late RM soybeans that were an average of 0.8 relative maturity groups different from each other. Future trials may seek to standardize soybean maturities and termination timings across farms to make results less variable and easier to interpret.
Analysis of combined trials
Overall, the cooperators found that Delayed Termination significantly negatively affected soybean yield compared to Near-Plant Termination for Early RM soybeans but not Late RM soybeans (Figure 1). Accounting for variability across farms, Early RM soybeans yielded an estimated 5 bu/ac higher when cover crops were terminated Near-Plant compared to Delayed Termination (Figure 1). Late RM soybeans under Near-Plant cover crop termination also outyielded Early RM soybeans under Delayed cover crop termination by an estimated 7 bu/ac. Though there was no significant difference in yield in the Late RM soybeans between Near-Plant and Delayed cover crop termination, Delayed Termination yields did trend lower. In addition, there were no significant differences in yields of Early and Late RM soybeans under Delayed Termination. This means that it remains unclear whether planting Late RM soybean offsets yield decline seen when delaying cover crop termination by more than two weeks after soybean planting.
Individual trial results
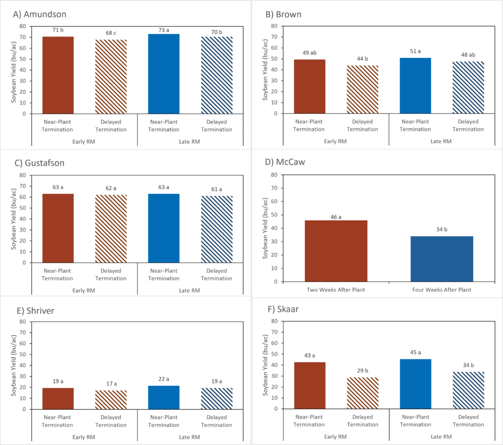
In individual cooperator trials, yield differences between soybean maturity and cover crop termination treatments varied from no differences to consistently lower yield under Delayed Termination treatments (Figure 2). Amundson and Skaar both found that Delayed Termination decreased yield for both Early and Late RM soybeans. Gustafson and Shriver found no yield differences between any soybean maturity and cover crop treatments. Brown found no significant differences between soybeans of the same maturity across termination treatments, but his Late RM soybeans under Near-Plant cover crop termination yielded higher than Early RM soybeans under Delayed cover crop termination. Finaly, though McCaw used a different experiment setup than the others, he found that Delayed Termination decreased soybean yield by an average of 12 bu/ac across the four relative maturities that he tested.
The yield decline seen in many sites under Delayed Termination treatments underscores results from previous trials showing that cover crop management is different in dry years and cover crop may need to be terminated earlier to avoid negative yield impacts [4], [5]. March of 2023 was drier than average at all trial locations, and April and May were drier than average for all locations except Amundson’s in Osage (Figure A1). Amundson reflected that “I had been pushing termination dates back but in a drier spring, I need to terminate earlier. We need to monitor soil and weather conditions when determining termination timing.” For McCaw and Brown, who pushed Delayed Termination to a month or more after termination, light could also have affected the soybean yields. McCaw concluded that “Soybeans need more sunlight. [I’m going] to try strip till and to continue to try other practices so I can significantly cut back my pesticide program.”
Amundson’s was the only trial where Late RM soybeans (70 bu/ac) yielded significantly higher than Early RM soybeans (68 bu/ac) in the Delayed Termination treatment. While this could indicate that Late RM soybeans offset yield decline, Shriver points out that these differences in yield could be due to differences in genetic capacity for yield between Early and Late RM soybeans. In Amundson’s case this seems likely as Late RM soybean also yielded higher than Early RM soybeans in the Near-Plant treatment and significant yield decline was observed in the Late RM soybeans due to Delayed termination. Taking all this into account, Amundson concluded that “relative maturities don’t make much difference” in terms of preventing yield decline from cover crop termination delayed by more than two weeks.

Figure 2 A-F. Average yields of each cooperator’s treatments and treatment pairs that were significantly different from each other. For each location, we use letter-rankings next to yield averages printed above each column to show results that are statistically different from one another. The highest yield will have an “a” beside it. A number with a “b” next to it is significantly different from a number bearing an “a” but neither is statistically different from a number bearing an “ab.” A third treatment might produce a number with a “c” (or it might not), and so on. McCaw planted four different soybean relative maturities without replication, so here we report differences in termination treatment only. Shriver notes that high weed pressure in his trial plot led to uncharacteristically low soybean yields for his operation. Click to enlarge.

Early and late maturity soybeans near the end of the growing season in Tracy Skaar’s field trial. Photo taken September 18, 2023.
Soil Temperature and Moisture
Amundson, Gustafson and Shriver completed soil temperature and moisture measurements at least once during the growing season. At a measurement taken after the Near-Plant termination treatment but before the Delayed Termination treatment (June 1), Shriver found that soil temperature was higher in the Delayed treatments (77° F) compared to the Near-Plant treatments (74° F). Shriver is an organic farmer who terminates by roller-crimping, which lays the rye on the soil surface in a mulch. So, the increased ground coverage after rye termination in this fashion likely drove this result at Shriver’s. At a measurement taken between his termination treatments (May 10), Gustafson found that soil moisture was significantly lower in the Delayed treatment (23%) compared to the Near-Plant treatment (27%). Amundson found no significant differences in soil temperature between termination treatments on May 7 and 15 but was not able to measure soil moisture. Neither Shriver nor Amundson found significant differences in soil temperature or moisture between treatments at measurements taken after their Delayed Termination date (June 20 for Shriver and July 10 for Amundson); Gustafson did not take a measurement after his second termination treatment. In other words, delaying cover crop termination ~21 days after planting did not have lasting impacts through the growing season on soil moisture compared with terminating the cover crop ~four days after soybean planting.
Conclusions and Next Steps
In 2023, Late RM soybeans did not consistently offset all yield decline from delaying cover crop termination by more than two weeks after planting green. Delaying cover crop termination by an average of 21 days did reduce soybean yields at three out of six trial locations and in Early RM soybeans across trials analyzed as a whole. These results build on previous work emphasizing the importance of terminating cover crops on the early side when planting green in a dry spring. Drought may have impacted the effect that Late RM soybeans had on yield decline under Delayed cover crop termination, and Skaar and McCaw are considering repeating this trial in 2024 to further investigate the question in what will hopefully be a more normal precipitation year. All six cooperators found that they learned something through the trial about a variety of topics including when to terminate cover crops when planting green in dry conditions, what relative maturity soybeans work well at their farms and weed management in cover cropped systems.

Early and late termination treatments at Tracy Skaar’s (left) and Scott Shriver’s (right). Skaar terminated with herbicide while Shriver roller-crimped. Photos taken June 16, 2023 (Skaar) and June 7, 2023 (Shriver).
Appendix – Weather Conditions

Figure A1. Weather data from the 2023 growing season and 10-year climate averages at A) Osage, IA (Amundson); B) Iowa Falls near New Providence, IA (Brown); C) Boone, IA (Gustafson); D) Williamsburg near Marengo, IA (McCaw); E) Jefferson, IA (Shriver); and F) Albert Lee near Hayward, MN (Skaar) . Left graphs show monthly precipitation accumulation in 2023 vs. 10-year normal, and right graphs shows monthly average temperature in 2023 vs. 10-year normal. Click to enlarge.
References
[1] S. Gailans, S. Bennett, T. Sieren, and J. Bakehouse, “Terminating Cereal Rye After Planting Soybeans,” Practical Farmers of Iowa, 2018. [Online]. Available: https://practicalfarmers.org/wp-content/uploads/2020/04/FINAL_Terminating-Cereal-Rye-After-Planting-Soybean.pdf
[2] S. Gailans, J. Boyer, and T. Sieren, “Terminating Cereal Rye Cover Crops After Planting Soybeans,” Practical Farmers of Iowa, 2019. [Online]. Available: https://practicalfarmers.org/research/terminating-cereal-rye-cover crops-after-planting-soybeans/
[3] A. I. Essman, M. M. Loux, A. J. Lindsey, and A. F. Dobbels, “The effects of cereal rye cover crop seeding rate, termination timing, and herbicide inputs on weed control and soybean yield,” Weed Sci., vol. 71, no. 4, pp. 387–394, Jul. 2023, doi: 10.1017/wsc.2023.33.
[4] H. Nelson and D. Sloan, “Terminating Cover Crops After Seeding Soybeans,” Practical Farmers of Iowa, 2021. [Online]. Available: https://practicalfarmers.org/wp-content/uploads/2022/01/FINAL.Terminating-CCs-After-Seeding-Soy.pdf
[5] H. Nelson, J. Bakehouse, and S. Bennett, “Terminating Cereal Rye After Seeding Soybeans (Or Not!),” Practical Farmers of Iowa, 2020. [Online]. Available: https://practicalfarmers.org/research/terminating-cereal-rye-after-seeding-soybeans-or-not/
[6] G. Nichols, S. Gailans, and T. Sieren, “Delayed Rye Cover Crop Termination in Soybeans,” Practical Farmers of Iowa, 2022. [Online]. Available: https://practicalfarmers.org/research/delayed-rye-cover crop-termination-in-soybeans/
Funding Acknowledgement
This material is based upon work supported by the U.S. Department of Agriculture, under agreement number NR226114XXXXG004. Any opinions, findings, conclusions, or recommendations expressed in this publication are those of the author(s) and do not necessarily reflect the views of the U.S. Department of Agriculture. In addition, any reference to specific brands or types of products or services does not constitute or imply an endorsement by the U.S. Department of Agriculture for those products or services.
